A
B
C
D
लिखित उत्तर
Verified by Experts
Recommended Questions
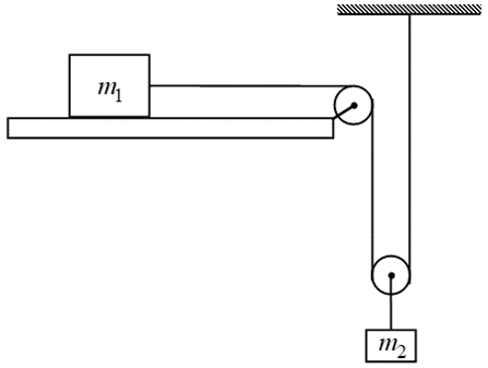
- If the surface is smooth, the acceleration of the block m2 will be
Text Solution
|
- A light string passing over a smooth light pulley connects two blocks ...
Text Solution
|
- Two blocks of masses m1 and m2 are connected as shown in the figure. T...
Text Solution
|
- A horizantal force ''F'' produces an acceleration of 6m//s^(2) on a bl...
Text Solution
|
- Assuming all the surfaces to be smooth, find the acceleration of the t...
Text Solution
|
- The acceleration of small block m with respect to ground is (all the s...
Text Solution
|
- Figure shows a block of mass 2m sliding on a block of mass m. Find the...
Text Solution
|
- Three blocks of masses m1= 10 kg, m2= 20kg,m3= 30kg are connected by s...
Text Solution
|
- What will be the net acceleration of a given block of mass 2kg kept on...
Text Solution
|
