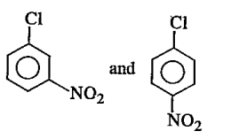
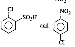
A
B
C
D
Text Solution
Verified by Experts
The correct Answer is:
|
Topper's Solved these Questions
HYDROCARBONS (ALKANES)
MS CHOUHAN|Exercise LEVEL - 2 (2. COMPREHENSION) |7 VideosView PlaylistHYDROCARBONS (ALKANES)
MS CHOUHAN|Exercise LEVEL - 2|11 VideosView PlaylistHYDROCARBONS (ALKANES)
MS CHOUHAN|Exercise LEVEL - 2|11 VideosView PlaylistGRIGNARD REAGENT
MS CHOUHAN|Exercise Level-2 (Subjective Problems)|6 VideosView PlaylistHYDROCARBONS (ALKENES)
MS CHOUHAN|Exercise LEVEL-2|22 VideosView Playlist
Similar Questions
Explore conceptually related problems
Knowledge Check
A
B
C
D
Submit
A
B
C
D
Submit
A
B
C
D
Submit
Similar Questions
Explore conceptually related problems
monohalogenation product
(initiatin step)


